U-substitution to solve definite integrals

 
 
U-substitution in definite integrals.001.jpeg
 
 
 

U-substitution in definite integrals is a little different than substitution in indefinite integrals

U-substitution in definite integrals is just like substitution in indefinite integrals except that, since the variable is changed, the limits of integration must be changed as well.

Krista King Math.jpg

Hi! I'm krista.

I create online courses to help you rock your math class. Read more.

 
 
 

When using u-substitution in definite integrals, you either have to change the limits of integration, or back-substitute


 
Krista King Math Signup.png
 
Calculus 2 course.png

Take the course

Want to learn more about Calculus 2? I have a step-by-step course for that. :)

Learn More
 
 

 
 

Evaluating a definite integral using u-substitution

Example

Use u-substitution to evaluate the integral.

???\int_0^{\frac{\pi}{2}}\frac{\cos{x}}{1+\sin^2{x}}\ dx???

Let

???u=\sin{x}???

???du=\cos{x}\ dx???

???dx=\frac{du}{\cos{x}}???

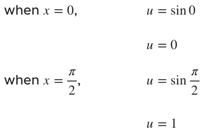
Since we’re dealing with a definite integral, we need to use the equation ???u=\sin{x}??? to find limits of integration in terms of ???u???, instead of ???x???.

 
changing the limits of integration
 
U-Substitution in definite integrals for Calculus 2.jpg

U-substitution in definite integrals is just like substitution in indefinite integrals except that, since the variable is changed, the limits of integration must be changed as well.

Substituting back into the integral (including for our limits of integration), we get

???\int_0^1\frac{\cos{x}}{1+u^2}\cdot\frac{du}{\cos{x}}???

???\int_0^1\frac{1}{1+u^2}\ du???

Using this very common formula,

???\int\frac{1}{1+x^2}\ dx=\tan^{-1}{x}+C???

take the integral.

???\int_0^1\frac{1}{1+u^2}\ du=\tan^{-1}{u}\big|_0^1???

???\int_0^1\frac{1}{1+u^2}\ du=\tan^{-1}{1}-\tan^{-1}{0}???

???\int_0^1\frac{1}{1+u^2}\ du=\frac{\pi}{4}???

 
Krista King.png
 

Get access to the complete Calculus 2 course

Get started